Los biomarcadores inflamatorios se han utilizado para el diagnóstico y tratamiento del síndrome inflamatorio multisistémico en niños (SIM-PedS). Nuestro objetivo fue determinar cómo se comportan estos biomarcadores inflamatorios en pacientes con síndrome febril orientados en principio como infección bacteriana potencialmente grave y comparar los hallazgos clínicos y de laboratorio con los casos SIM-PedS.
MétodosEstudio de cohorte observacional ambispectivo unicéntrico (junio de 2020-febrero de 2022). Analizamos la demografía, los síntomas clínicos y los hallazgos de laboratorio en casos SIM-PedS y en casos de síndrome febril de otras etiologías infecciosas de pacientes menores de 15 años con ingreso hospitalario.
ResultadosIncluimos a 54 pacientes con sospecha analítica de infección bacteriana y a 20 pacientes con SIM-PedS para el análisis. La fiebre (100%), los hallazgos gastrointestinales (80%) y mucocutáneos (35%) fueron más frecuentes en los pacientes con SIM-PedS, también la hipotensión (36,8%) y la taquicardia (55%). Los hallazgos de laboratorio mostraron niveles significativamente elevados de pro-BNP (70%), ferritina (35%), dímeros D (80%) así como linfopenia (55%) y trombocitopenia (27,8%) en los casos de SIM-PedS. Los valores de IL-6 fueron elevados en pacientes sin SIM-PedS (92,6%).
ConclusionesEn el manejo de pacientes con SIM-PedS, la monitorización dinámica de pro-BNP, ferritina, dímero D, linfocitos y plaquetas podría ser útil para evaluar efectivamente el progreso de la enfermedad en las primeras fases. Los valores de IL-6 pueden elevarse de forma significativa en pacientes con síndrome febril de otras etiologías, así como los dímeros D. El uso de diversos biomarcadores de laboratorio podría ayudar a determinar precozmente la evolución de los pacientes con síndrome febril.
Inflammatory biomarkers have been used for the diagnosis and management of multisystemic inflammatory syndrome in children (MIS-C). We aimed to compare the clinical and laboratory findings of MIS-C cases versus other febrile cases cataloged as potentially suspected bacterial infection (non-MIS-C).
MethodsUnicentric ambispective observational cohort study (June 2020 to February 2022). We analyzed demographics, clinical symptoms and laboratory findings in MIS-C cases and in non-MIS-C cases with febrile processes of patients under 15 years of age admitted to hospital.
ResultsWe enrolled 54 patients with potential suspected bacterial infection and 20 patients with MIS-C for analysis. Fever (100%), gastrointestinal (80%) and mucocutaneous findings (35%) were common in MIS-C patients, also hypotension (36.8%) and tachycardia (55%). Laboratory findings showed significantly elevated proBNP (70%), ferritin (35%), D-dimer (80%) and lymphopenia (55%) and thrombocytopenia (27.8%) in MIS-C cases. IL-6 values were high in non-MIS-C patients (92.6%).
ConclusionsIn the management of MIS-C patients, the dynamic monitoring of proBNP, ferritin, D-dimer, lymphocytes and platelets could be helpful to pediatricians to effectively evaluate the progress of MIS-C in the early phases, not IL-6 values. The applicability of the IL-6 level as a prognostic biomarker in MIS-C patients may require closer discussion. In addition, the optimal laboratory markers, as stated in our study, can help establish a biomarkers model to early distinguish the MIS-C versus non-MIS-C in patients who are admitted to febrile syndrome.
La determinación de biomarcadores específicos de infección bacteriana facilita el manejo de los pacientes pediátricos con síndrome febril.
En diciembre de 2019, apareció por primera vez en China el nuevo síndrome respiratorio agudo severo coronavirus 2 (SARS-CoV-2). En la mayoría de los niños, la infección por covid-19ha sido asintomática o los síntomas han sido leves durante la fase aguda de la infección1. Sin embargo, surgió una nueva entidad clínica que inicialmente se denominó síndrome inflamatorio multisistémico pediátrico (SIM-PedS) vinculado a SARS-CoV-2. Esto incluyó casos de pacientes pediátricos con características clínicas que se superponían con otras entidades pediátricas bien conocidas, como la enfermedad de Kawasaki o el síndrome de shock tóxico2.
Debido al aumento progresivo de casos descritos con manifestaciones similares, el Royal College of Pediatrics and Child Health realizó una primera descripción y lo denominó síndrome inflamatorio multisistémico asociado temporalmente al SARS-CoV-2. Al mismo tiempo, el Centro para el Control y la Prevención de Enfermedades de los Estados Unidos de América lo definió como un síndrome inflamatorio multisistémico en niños (MIS-C).
Junto con la definición de esta nueva entidad, se establecieron parámetros analíticos inflamatorios dentro de los criterios diagnósticos para intentar estratificar la gravedad y el riesgo de requerir ingreso en unidades de cuidados intensivos. Determinadas alteraciones analíticas, como la leucocitopenia, trombocitopenia, propéptido natriurético tipo B (pro-BNP), ferritina y proteína C reactiva (PCR) elevados, parecieron estar más asociados a desarrollar un shock por disfunción miocárdica3. Debido a esto, los niños que presentaron esta respuesta proinflamatoria requerían un diagnóstico adecuado y el inicio precoz de un tratamiento inmunosupresor.
Nuevos estudios confirmaron la presencia del síndrome hiperinflamatorio en pacientes con SIM-PedS y se establecieron diferencias al comparar la SIM-PedS con la infección por covid-19 grave/no grave3. Se evaluaron los parámetros analíticos para determinar marcadores pronósticos de gravedad, como el pro-BNP, la interleucina-6 (IL-6) y los dímeros D (DD). Estos han sido utilizados previamente en pacientes pediátricos y adultos como valores indicativos de inflamación en procesos infecciosos. Se han publicado algunos estudios en los que se utiliza la IL-6 como predictor de alto riesgo de sepsis en recién nacidos y en pacientes oncológicos con neutrocitopenia febril4,5. El pro-BNP ha sido analizado como valor pronóstico de shock séptico pediátrico, disfunción ventricular y de marcadores cardíacos en pacientes pediátricos con sepsis6,7.
Estos biomarcadores inflamatorios pueden ser útiles para determinar la gravedad clínica en pacientes pediátricos con disfunción multiorgánica grave, pero los valores umbral en niños con infecciones bacterianas o virales no están claramente definidos.
Por estas razones, consideramos importante conocer cómo se pueden comportar estos biomarcadores inflamatorios en pacientes pediátricos afectados por enfermedades infecciosas no relacionadas con la covid-19 y que requieren hospitalización. Además podría permitir una mejor estimación de los valores usados para estratificar el riesgo del SIM-PedS y determinar su gravedad y manejo.
MétodosSe trata de un estudio observacional ambispectivo unicéntrico de pacientes de un hospital de segundo nivel durante el período que va de junio de 2020 a febrero de 2022. Se incluyó a pacientes menores de 15 años con diagnóstico de SIM-PedS durante la hospitalización y a menores de 15 años que cumplían criterios clínicos o analíticos de infección bacteriana potencialmente grave (IBPG) y que requerían ingreso en nuestro centro para observación o tratamiento.
Los parámetros de inclusión de los pacientes SIM-PedS utilizaron los criterios diagnósticos SIM-PedS de la OMS8 de la tabla 1. En los pacientes del grupo IBPG se utilizaron los criterios clínico-analíticos de nuestro centro (tabla 1).
Criterios diagnósticos SIM-PedS de la OMS 2020 y criterios de infección bacteriana potencialmente grave (IBPG)
| Criterios de diagnóstico SIM-PedS de la OMS 2020: |
| Niños y adolescentes de 0 a 19 años con fiebre >3 días, |
| Y 2de los siguientes: |
| Exantema o conjuntivitis no purulenta bilateral o signos de inflamación mucocutánea (bucal, manos o pies). |
| Hipotensión o shock |
| Características de disfunción miocárdica, pericarditis, valvulitis o anomalías coronarias (incluidos hallazgos de ECHO o troponina/NT-pro-BNP elevada) |
| Evidencia de coagulopatía (por PT, PTT, dímeros D elevados) |
| Problemas gastrointestinales agudos (diarrea, vómitos o dolor abdominal) |
| Y marcadores elevados de inflamación como proteína C reactiva o procalcitonina |
| Y ninguna otra causa microbiana obvia de inflamación, incluyendo sepsis bacteriana, síndromes de shock estafilocócico o estreptocócico |
| Y evidencia de covid-19 (RT-PCR, prueba de antígeno o serología positiva), o probable contacto con pacientes con covid-19 |
| Infección bacteriana potencialmente grave (IBPG): |
| Fiebre >8 h sin foco o fiebre con alteración del aspecto y |
| Proteína C >10 mg/L o |
| Procalcitonina >1 ng/L o |
| Leucocitos >22.000/m3 |
El Comité Ético de nuestro hospital aprobó la recogida de datos, análisis y difusión de resultados, de acuerdo con el Código de buenas prácticas.
La información de los pacientes con SIM-PedS ingresados desde junio de 2020 hasta febrero de 2021 se recogió de forma retrospectiva a través de la historia clínica electrónica. Los pacientes diagnosticados de SIM-PedS después de febrero de 2021 se incorporaron prospectivamente en el estudio. Se incluyó a pacientes con sospecha de IBPG desde febrero de 2021 hasta la finalización del trabajo.
Se registraron datos epidemiológicos (sexo, edad, etnia), manifestaciones clínicas (fiebre, síntomas gastrointestinales, neurológicos, mucocutáneos, respiratorios), signos clínicos (hipotensión, taquicardia), parámetros analíticos (proteína C reactiva, procalcitonina, valores del hemograma), requerimientos terapéuticos y evolución de los pacientes.
Existía indicación médica para determinar los biomarcadores inflamatorios en todos los pacientes con sospecha clínica de SIM-PedS. En pacientes con sospecha de IBPG, en el momento de realizar la analítica de sangre inicial para determinar la etiología de la posible infección, añadimos los parámetros bioquímicos del estudio (IL-6, pro-BNP, DD, ferritina). Previamente se obtuvo el consentimiento informado de los representantes legales y el asentimiento de los niños menores de edad que fueron incluidos.
Estos parámetros analíticos (IL-6, proBNP, DD, ferritina), en pacientes que no cumplían criterios de SIM-PedS, solo se determinaban para su valoración dentro del estudio y no se utilizaban para ninguna acción terapéutica ni cambios en el manejo habitual, ni suponían realizar pruebas complementarias extraordinarias. Los valores clínicos y de laboratorio se ajustaron utilizando rangos normales específicos de la edad. Los puntos de corte de los biomarcadores inflamatorios para ser considerados anormalmente elevados fueron tomados según la revisión de Miller et al., en la que se establecieron valores umbral a través de la serie más larga de SIM-PedS publicada hasta la fecha. Los parámetros clínicos se recogieron al ingreso. Los resultados analíticos correspondían al ingreso y, si se requirieron pruebas de control durante la evolución clínica, se determinaron de nuevo.
Los diagnósticos finales de los pacientes estudiados se dividieron en 2 categorías: pacientes SIM-PedS o no SIM-PedS. Los pacientes no SIM-PedS fueron subclasificados en infección bacteriana, infección viral, sospecha de bacteriemia sin confirmación microbiológica y otros (infecciones parasitarias o enfermedades autoinmunes). Las infecciones bacterianas fueron diagnosticadas a través de cultivos de muestras biológicas. En las infecciones virales, el germen se identificó mediante la reacción en cadena de la polimerasa con transcriptasa inversa (RT-PCR, del inglés Reverse Transcriptada - Polymerase Chain Reaction) de virus respiratorios en hisopos nasofaríngeos. Clasificamos como pacientes con sospecha analítica de bacteriemia sin confirmación microbiológica a aquellos en los que los cultivos de sangre, orina y heces fueron negativos, así como a aquellos en los que no se aisló virus en el frotis nasofaríngeo y en los que no se identificaron resultados serológicos positivos, ni ninguna otra etiología causante de la fiebre. La infección parasitaria se diagnosticó con la detección de Plasmodium en sangre mediante RT-PCR.
Los pacientes se incluyeron en el estudio antes del uso de la vacuna covid-19 en niños.
Todas las variables relacionadas se analizaron con el programa informático SPSS, aplicando pruebas para el estudio de distribución de datos (Kolmogorov-Smirnov) y comparando los datos cuantitativos (t de Student, U de Mann-Whitney) y cualitativos (χ2, tabla de contingencia, prueba exacta de Fisher). Las variables continuas se expresaron como media y desviación estándar, o como mediana y rango intercuartílico (RIC), según su distribución. Las variables categóricas se expresaron como frecuencias absolutas y relativas (porcentajes). Los valores de p inferiores a 0,05 se consideraron significativos. Para medir la correlación lineal entre 2conjuntos de datos utilizamos el coeficiente de correlación de Pearson (rho de Spearman en variables no paramétricas).
ResultadosDatos epidemiológicosSe incluyó a 54 pacientes con sospecha IBPG y a 20 pacientes con SIM-PedS para el análisis. Ninguno de ellos falleció (tabla 2). De los pacientes incluidos en el grupo con sospecha de IBPG (pacientes no SIM-PedS), el diagnóstico final fue infección bacteriana en el 40% (n=22), infección viral en el 25,9% (n=14), sospecha analítica de bacteriemia sin confirmación microbiológica en el 22,2% (n=12) y otros en el 11,1% (n=6) de los pacientes. En esta categoría se incluyeron la infección por parásitos (malaria, n=3) y el diagnóstico final de enfermedad autoinmune.
Análisis multivariable de pacientes SIM-PedS y no SIM-PedS para valores epidemiológicos y clínicos
| SIM-PedS | No SIM-PedS | valor p | |
|---|---|---|---|
| Hombre, n (%) | 8 (40) | 29 (53,7) | 0,295 |
| Edad (años), mediana (DE) | 8,70 (3,75) | 4,43 (3,45) | <0,001 |
| Etnia, n (%) | |||
| ·Caucásica | 18 (90) | 40 (74,1) | - |
| ·Hispanico (Latino America) | 6 (11,1) | ||
| ·Africano | 2 (10%) | 0 (0) | |
| ·Árabe | 5 (9,3) | ||
| ·Mixto/Otros | 3 (5,6) | ||
| Hallazgos clínicos, n (%) | |||
| Fiebre >39°C | 18 (90) | 37 (69,8) | 0,126 |
| Horas de fiebre, n (%) | |||
| ·<24 h | 2 (14,3) | 23 (43,4) | - |
| ·24-72 h | 3 (21,4) | 12 (22,6) | |
| ·>72 h | 9 (64,3) | 18 (34) | |
| Síntomas gastrointestinales | 16 (80) | 24 (44,4) | 0,006 |
| Síntomas mucocutáneos | 7 (35) | 5 (9,3) | 0,013 |
| Síntomas neurológicos | 8 (40) | 4 (7,4) | 0,002 |
| Síntomas respiratorios | 4 (20) | 11 (20,4) | 1 |
| Hipotensión | 7 (36,8) | 1 (1,9) | <0,001 |
| Taquicardia | 11 (55) | 12 (22,2) | 0,007 |
| IgM+/IgG− SARS-CoV-2 al ingreso, n (%) | 1 (5) | 1 (1,8) | - |
| IgM+/IgG+ SARS-CoV-2 al ingreso, n (%) | 2 (10) | 3 (5,5) | |
| IgM−/IgG+ SARS-CoV-2 al ingreso, n (%) | 14 (70) | 10 (18,5) | |
| Ingreso UCI-P, n (%) | 4 (26,7) | 1 (1,9) | 0,007 |
| Tratamiento antibiótico, n (%) | 9 (52,9) | 43 (81,1) | 0,029 |
Los pacientes con infecciones bacterianas se distribuyeron de la siguiente manera: el 36,3% (8/22) presentó infección de vías urinarias; el 22,7% (5/22), gastroenteritis enteroinvasiva; el 18,1% (4/22), sospecha de neumonía; el 9% (2/22), apendicitis; el 9% (2/22), sepsis y el 4,5% (1/22), celulitis cutánea (tabla 3).
Resultados de las muestras biológicas de los pacientes con sospecha IBPG
| Infecciones bacterianas, n (%) | 22/54 (40) |
| Urocultivos positivos, n (%) | 8 (36,3) |
| ·Escherichia coli, n | 8 |
| Coprocultivos positivos, n (%) | 5 (22,7) |
| ·Campylobacter jejuni, n | 2 |
| ·Salmonella enterica, n | 2 |
| ·Aeromonas hydrophila, n | 1 |
| Hemocultivos positivos, n (%) | 3 (13,6) |
| ·Klebsiella pneumoniae, n* | 1 |
| ·Neisseria meningitidis, n | 1 |
| ·Salmonella enterica, n | 1 |
| Otros | |
| ·Líquido pleural (Fusobacterium spp.), n* | 1 |
| ·Serología (IgM Mycoplasma), n | 1 |
| Diagnóstico clínico-radiológico | |
| ·Apendicitis | 2 |
| ·Neumonía | 1 |
| ·Celulitis | 1 |
| Infecciones virales, n (%) | 14/54 (25,9) |
| Frotis nasofaríngeo | |
| ·Adenovirus, n (%)* | 7 (50) |
| ·Rinovirus, n (%) | 2 (14,2) |
| ·covid-19, n (%) | 3 (21,4) |
| ·Enterovirus, n (%) | 1 (7,1) |
| ·Gripe A, n (%) | 1 (7,1) |
La fiebre estaba presente en todos los pacientes al ingreso. La mediana de duración de la fiebre fue de 4 días en ambos grupos, con un RIC [2-7] en los pacientes no SIM-Peds y RIC [4-7] en los SIM-PedS. Los síntomas gastrointestinales (dolor abdominal, diarrea, vómitos) fueron los hallazgos clínicos más comunes en ambos grupos. Los pacientes SIM-PedS también presentaban síntomas mucocutáneos (exantema o exantema, conjuntivitis, adenopatías) (35%) y neurológicos (confusión, cefalea, convulsiones) (40%), con diferencias estadísticamente significativas con el grupo no SIM-PedS (tabla 2).
Los anticuerpos SARS-CoV-2 (IgM o IgG) resultaron positivos en el 85% (n=17) de los pacientes con SIM-PedS. Solo presentó infección activa (IgM positiva e IgG negativa) uno de los pacientes y los 16 restantes presentaban IgG positiva con IgM negativa. De los pacientes no SIM-PedS uno de ellos presentaba IgM positiva con IgG negativa y solo el 24% de ellos presentaba infección previa por covid-19 (IgG positiva para SARS-CoV-2). El diagnóstico de covid-19 en fase aguda (diagnosticado por RT-PCR o por prueba rápida de antígenos) solo se había realizado en el 18,5% de los pacientes no SIM-PedS y en el 25% de los pacientes SIM-PedS (tabla 2).
Resultados de laboratorioLos resultados de los análisis de laboratorio se muestran en la tabla 4. Los niveles elevados de IL-6 fueron >30 ng/L en el 90% (n=18) de los pacientes con SIM-PedS y en el 92,6% (n=50) de los pacientes no SIM-PedS. Entre los marcadores inflamatorios observados anormalmente elevados en pacientes con SIM-PedS se incluye el pro-BNP (definido por >400 pg/mL) en el 70% de los casos en comparación con los pacientes no SIM-PedS, en quienes estaba elevado solo en el 24,1%. En los pacientes con SIM-PedS, la ferritina se elevó en el 35% de ellos (definida por >300 ng/mL), la proteína C reactiva en el 75% (definida como >0,6mg/dL), la procalcitonina (PCT) en el 75% (definida como >0,5 ng/mL) y los DD en el 80% (definido como >250 ng/mL). Sin embargo, en los pacientes no SIM-PedS la ferritina estaba elevada en el 13%, la proteína C reactiva en el 83,3%, la PCT en el 68,5% y los DD en el 63%. Comparamos la mediana de pro-BNP en pacientes que presentaron taquicardia y fue de 336 pg/mL (RIC: 47,4-1.999,5) y en no taquicardia fue de 132,4 pg/mL (RIC 46,6-494) con p=0,052 en la prueba U de Mann Whitney. Por lo demás, la mediana de pro-BNP en pacientes con hipotensión fue de 863,6 pg/mL (RIC: 329-2.684) y en no hipotensos fue de 141,4 pg/mL (RIC: 47-522,3) con p=0,028.
Hallazgos de laboratorio análisis multivariados comparados casos SIM-PedS y no SIM-PedS
| SIM-PedS | No SIM-PedS | valor p | |
|---|---|---|---|
| IL-6 (ng/L),mediana (IQR) | 38,95(12,2-71,9) | 81,35(28-184,5) | 0,044 |
| Pro-BNP (pg/mL),mediana (IQR) | 1.254,75(330,8-2.379,1) | 110,35(37,2-399,6) | <0,01 |
| Ferritina (ng/mL),mediana (IQR) | 214,5(123,5-556,2) | 128,25(72,92-207,2) | 0,031 |
| PCR (mg/dL),mediana (IQR) | 10,5(58,5-141) | 11,3(75,3-150,7) | 0,54 |
| Procalcitonina (ng/mL),mediana (IQR) | 2,73(0,46-6,8) | 1,72(0,2-4,6) | 0,56 |
| Dímeros D (ng/mL),mediana (IQR) | 795(296,3-1.108,7) | 328,5(181,7-885,2) | 0,161 |
| Leucocitos,mediana (IQR) | 5,62(4,5-8,6) | 9,2(5,4-15,5) | 0,013 |
| Neutrófilos,mediana (DE) | 4,47(4,1) | 6,68(4,3) | 0,082 |
| Linfocitos,mediana (IQR) | 0,94(0,6-1) | 1,81(0,9-3,1) | 0,004 |
| Plaquetas,mediana (DE) | 176(80,3) | 277,8(111,6) | 0,001 |
| Hemoglobina,mediana (IQR) | 10,8(9,7-11,1) | 11(10,2-12) | 0,107 |
La leucocitopenia (<1,0×109/L) estuvo presente en el 55% (n=11) de los casos de SIM-PedS y el 35% también presentó trombocitopenia (<15×109/L) frente al 27,8% y el 13%, respectivamente, de los pacientes no SIM-PedS.
En la correlación bivariada no encontramos correlación significativa entre los 2 parámetros inflamatorios predominantes (IL-6 y pro-BNP) en pacientes SIM-PedS (rho=0,364; p=0,115) ni en pacientes no SIM-PedS (rho=0,185; p=0,182). En pacientes SIM-PedS existe una correlación significativa entre IL-6 y PCR (rho=0,569; p=0,009), IL-6 y PCT (rho=0,562; p=0,01) y entre pro-BNP y ferritina (rho=0,452; p=0,045) (fig. 1).
Correlación bivariada entre marcadores inflamatorios en pacientes con diagnóstico SIM-PedS (línea discontinua) vs. pacientes con sospecha IBPG (línea continua). A) Correlación pacientes IL-6/proBNP SIM-PedS (rho=0,364, p=0,115), no SIM-PedS (rho=0,185; p=0,182). B) Correlación pacientes pro-BNP/ferritina SIM-PedS (rho=0,452; p=0,045), no SIM-PedS (rho=0,127; p=0,361). C) Correlación IL-6/PCR pacientes SIM-PedS (rho=0,569; p=0,009), no SIM-PedS (rho=0,217; p=0,116). D) Correlación pacientes SIM-PedS IL-6/PCT (rho=0,562; p=0,01), no SIM-PedS (rho=-0,026; p=0,854).
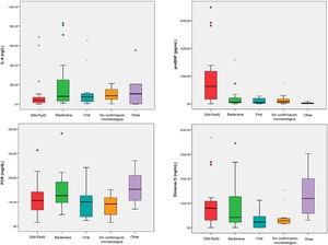
Analizamos los marcadores inflamatorios por subcategorías en pacientes no SIM-PedS en comparación con pacientes SIM-PedS y observamos que la mediana de IL-6 era mayor en infecciones bacterianas (78,95 ng/L) y en enfermedades autoinmunes (107,87 ng/L) que en pacientes SIM-PedS (38,95 ng/L) (fig. 2). La mediana de pro-BNP fue notablemente superior en los pacientes con SIM-PedS (1.254,75 pg/ml) que en otros subgrupos. Sin embargo, la mediana de PCR fue similar en todos los pacientes del grupo y la mediana de DD fue elevada en pacientes con SIM-PedS (795 ng/mL) y en enfermedad autoinmune en pacientes no SIM-PedS (1.190 ng/mL).
DiscusiónEn relación con la infección de covid-19 se definió la nueva entidad del SIM-PedS, para lo cual se establecieron unos criterios clínicos y se relacionaron unos valores analíticos como posibles predictores de la gravedad de este síndrome3.
Ante el uso de estos biomarcadores para el SIM-PedS nos planteamos la posibilidad de determinar si estos parámetros analíticos también podían emplearse en otros pacientes pediátricos con síndrome febril para determinar su utilidad como marcadores de gravedad. En este estudio, comparamos las diferencias entre pacientes pediátricos con SIM-PedS y niños afectos de síndrome febril con elevación de marcadores inflamatorios.
Tras la revisión, se recogieron niveles más altos de pro-BNP y ferritina y niveles más bajos de linfocitos y plaquetas en los pacientes con SIM-PedS que en otras etiologías de síndromes febriles.
En nuestra muestra, encontramos que la mediana de edad en los niños con SIM-PedS era mayor (8,7 años) que en los niños no SIM-PedS (4,4 años), dato con significación estadística. La mediana de edad en pacientes afectos de SIM-PedS es similar a la reportada en otras revisiones9. Nuestra hipótesis es que los procesos infecciosos suelen ser más frecuentes en la primera infancia, mientras que esta nueva entidad afecta predominantemente a niños más mayores. La mediana de días de fiebre en el momento de la consulta era igual para ambos grupos, pero el RIC era de 2-7 días en los pacientes no SIM-PedS, quizá asociado a que eran los pacientes de menor edad, que suelen consultar de forma más precoz por ser un grupo de edad más vulnerable. Existen también diferencias con relación al sexo: el SIM-PedS predomina en el sexo femenino (60%), a diferencia de las series publicadas previamente10. La proporción de niños de etnia africana con SIM-PedS (10%) era mayor que en las otras etiologías infecciosas, pero menor que en otros reportes de la literatura10.
Los síntomas de presentación más frecuentes en los pacientes con SIM-PedS fueron la fiebre (100%), destacando la fiebre alta (>39°) en el 90% frente a los síndromes febriles de otras causas (69.8%). Los síntomas gastrointestinales (80%) y mucocutáneos (35%) fueron más frecuentes en el grupo SIM-PedS. En nuestros casos detectamos un 40% de síntomas neurológicos. Este dato es mayor que en otras revisiones, en las que suele ser del 10%, pero en nuestra muestra también se incluyó la cefalea como síntoma neurológico, una manifestación frecuente en otras series (el 40%)11. Pudimos comprobar que la presencia de hipotensión y taquicardia es más frecuente en pacientes con SIM-PedS (36,8 y 55%, respectivamente) que en pacientes con síndrome febril no SIM-PedS (1,9 y 22,2%), con valores similares al estudio realizado por Miller et al., con la mayor muestra de SIM-PedS publicada11. Estos signos podrían ser tomados como factores de riesgo para desarrollar una enfermedad más grave y con posible afectación cardiovascular, como ya se ha descrito en pacientes con SIM-PedS12.
Nuestros resultados de laboratorio, que comparan los valores de IL-6 determinados por SIM-PedS con los no SIM-PedS, parecen no ser buenos predictores de enfermedad grave en pacientes con SIM-PedS. Encontramos que en pacientes no SIM-PedS, los valores de IL-6 tienen una mediana mayor (81,95 ng/L) que en SIM-PedS (38,95 ng/L).
Algunos estudios publicados revelan que en casos graves de covid-19 existe una respuesta inmunitaria hiperactivada y que los valores de la IL-6 predicen la gravedad de la enfermedad13,14. Sin embargo, Leisman et al.15 determinaron en un metaanálisis realizado en pacientes adultos que las concentraciones de IL-6 en pacientes con covid-19 grave fueron inferiores a las reportadas en pacientes con sepsis o dificultad respiratoria sin covid-19, de acuerdo con nuestros resultados. Aunque la IL-6 se ha identificado como biomarcador en pacientes con SIM-PedS en estudios realizados solamente en pacientes con esta entidad clínica, no existen estudios comparativos de este parámetro analítico en pacientes pediátricos con síndrome febril. En nuestra serie de casos, aunque la IL-6 se encuentra elevada en SIM-PedS, hemos visto que está más elevada incluso en pacientes con síndrome febril por otra etiología, como se ha reportado en estudios realizados en la población adulta15. Desde este punto de vista, la aplicabilidad de los niveles de IL-6 como biomarcador pronóstico en pacientes con SIM-PedS podría requerir una discusión más detallada.
Por el contrario, en nuestro estudio, varios biomarcadores que no son citocinas, incluidos pro-BNP, ferritina y DD, están más elevados en pacientes con SIM-PedS que en pacientes no SIM-PedS.
Los valores medianos de pro-BNP fueron más altos en pacientes SIM-PedS (1.254,75 pg/mL) que en pacientes no SIM-PedS (110,35 pg/mL). Además, se encontró una asociación estadísticamente significativa entre valores elevados de pro-BNP y la presencia de signos cardiovasculares, como taquicardia e hipotensión. Debido a que SIM-PedS es un estado proinflamatorio, los marcadores cardíacos se monitorizan en el manejo de la enfermedad. En el metaanálisis realizado por Zhao et al.12, los resultados indicaron que los niveles de pro-BNP de los pacientes con SIM-PedS grave eran más altos que los de los pacientes con SIM-PedS no grave, tal y como hemos visto en nuestros resultados.
La ferritina es un parámetro relacionado con el estado proinflamatorio y ha sido utilizado como biomarcador de sepsis en niños16. En nuestro estudio, solo el 35% de los pacientes con SIM-PedS presentaron ferritina elevada, pero observamos valores significativamente más altos en pacientes con SIM-PedS (214,5 ng/mL) que en pacientes con fiebre de otra etiología (128,25 ng/mL). El aumento de la ferritina parece ser una respuesta inflamatoria mediada por estimulación de citocinas proinflamatorias como la IL-616. En nuestros resultados se observa que los principales biomarcadores presentes en pacientes con SIM-PedS (pro-BNP y ferritina) también tienen una correlación significativa (fig. 2).
Encontramos valores más elevados de DD en pacientes con SIM-PedS (795 ng/mL), sin que las diferencias fueran significativas, pero con valores muy superiores que en infecciones bacterianas (416,5 ng/mL). En pacientes con enfermedades autoinmunes o malaria fueron mucho mayores (1.150,5 ng/mL). Los estudios han detectado DD elevados en pacientes con sepsis y lo han considerado un marcador específico17, aunque en nuestra muestra no analizamos pacientes con sepsis, sino pacientes con fiebre y sospecha de infección.
Nuestros resultados no mostraron diferencias significativas en PCR y PCT entre pacientes con SIM-PedS y sin ella. Sin embargo, se observa una correlación en la elevación entre IL-6 y PCR, e IL-6 y PCT en pacientes con SIM-PedS. Esto puede ser útil para interpretar los resultados en pacientes con SIM-PedS, pero no puede ser un marcador pronóstico. El aumento en los niveles de PCR está inducido principalmente por la IL-6, lo que justificaría su correlación en nuestro estudio18.
Los pacientes con SIM-PedS de nuestra muestra presentaban valores significativos de leucocitopenia (55%) y trombocitopenia (35%) en comparación con otros síndromes febriles. Estos resultados son similares a los de un amplio estudio con 4.901 pacientes con SIM-PedS en el que encontraron un 60% de pacientes con SIM-PedS con compromiso hematológico grave, incluyendo trombocitopenia (42,3%) y linfopenia (35,3%)11. Estos hallazgos parece que se deben a los cambios en el panorama inmunitario durante el curso de SIM-PedS, cuya fase aguda se caracteriza por la activación del sistema inmunitario innato con linfocitopenia de células T y células B, que se normalizan durante la recuperación19.
Este estudio presenta limitaciones. En todos los pacientes los parámetros analíticos se determinaron al ingreso, pero no de forma homogénea en los controles sucesivos. Al comparar entre pacientes, no se puede asegurar que todos estuvieran en el mismo momento de evolución clínica. El número de niños con SIM-PedS (n=20) incluidos es una limitación y debilidad de este estudio. La muestra, si bien produjo diferencias significativas en los resultados, tuvo un bajo poder estadístico. No analizamos la información sobre la temporalidad con relación a las horas de fiebre para la mayoría de las pruebas de laboratorio; por lo tanto, los hallazgos de laboratorio pueden ser usados más como marcadores orientativos, y no como predictores, de resultados graves.
No obstante, creemos que a partir de este estudio se podría aumentar la muestra a través de otras series de pacientes y valorar utilizar asociaciones temporales entre los marcadores de laboratorio y la evolución del síndrome febril para determinar el potencial predictivo de los biomarcadores. Aumentando el tamaño muestral, incluso podría ser útil determinar valores umbral o puntos de corte de biomarcadores para gravedad y la posibilidad de elaborar un índice pronóstico o de manejo inicial de estos pacientes.
ConclusionesDebido a la gravedad que pueden presentar los cuadros de SIM-PedS, fue necesario determinar parámetros analíticos que fueran útiles para orientar el manejo inicial y la posible evolución de esta nueva entidad. En los niños, la presencia de fiebre y su asociación con un cuadro de sepsis pueden ser difíciles. Por lo tanto, intentar determinar biomarcadores fiables para distinguir la gravedad del cuadro febril resultará muy útil.
A través de nuestro estudio descriptivo y comparativo de las diferentes cohortes tratamos de identificar qué parámetros podrían ser más útiles para distinguir SIM-PedS en pacientes con síndrome febril y aquellos no SIM-PedS. Inicialmente el antecedente de infección por covid-19 o la detección serológica eran de ayuda para el diagnóstico, pero actualmente una gran parte de la población tiene historial de infección o anticuerpos positivos, además de posible vacunación. Por otro lado, intentamos determinar si algunos de los valores analíticos que se habían reportado en otros estudios como factores de gravedad de cuadros de SIM-PedS también podrían ser útiles como biomarcadores de mayor asociación con infecciones bacterianas en síndromes febriles en niños.
Después de nuestro análisis, en el manejo de pacientes con SIM-PedS, la monitorización dinámica de pro-BNP, de ferritina, DD, linfocitos y plaquetas será útil para los pediatras como marcadores orientativos de los casos de SIM-PedS en las primeras fases, pero serán menos útiles los valores de IL-6.
Creemos que estudios adicionales con mayor tamaño muestral y que utilicen asociaciones temporales podrían ayudar a determinar biomarcadores plasmáticos para el manejo inicial y pronóstico de pacientes pediátricos con síndrome febril.
FinanciaciónLa presente investigación no ha recibido ayudas específicas provenientes de agencias del sector público, sector comercial o entidades sin ánimo de lucro.
Conflicto de interesesLos autores declaran no tener ningún conflicto de intereses.









