La osteoartritis (OA) es considerada como la enfermedad articular degenerativa más frecuente en la población adulta, siendo una causa importante de discapacidad a nivel mundial, y su prevalencia va en aumento asociada a diferentes factores entre ellos la obesidad.
La obesidad junto con el síndrome metabólico se han asociado con un estado pro inflamatorio debido a la liberación de citocinas que inducen cambios en el metabolismo del cartílago. La quemerina es una adipocina secretada principalmente por adipocitos, y tiene como acción final, el aumento de la producción de IL-6, IL-8, IL-1b, TNF-a y metaloproteinasas por parte de macrófagos, células dendríticas y condrocitos, las cuales son encargadas del daño del cartílago articular. Esta es una de las razones por la que se ha relacionado la obesidad y la inflamación con la OA. El objetivo principal de este estudio consiste en determinar si las concentraciones de quemerina en suero de un grupo de pacientes con OA primaria son mayores al compararlos con individuos controles sanos; y adicionalmente determinar la relación entre la presencia de obesidad/sobrepeso con la severidad de la enfermedad medida por una escala radiológica.
Pacientes y métodosSe realizó un estudio de corte transversal analítico donde se cuantificaron los niveles de quemerina en suero mediante ensayo por inmunoadsorción ligado a enzimas (ELISA), en pacientes con OA primaria de cadera, rodilla y mano con criterios del American College Of Reumathology (ACR) y controles sanos. Se analizaron los estudios radiológicos de los pacientes y controles para determinar la severidad del compromiso articular aplicando el sistema de clasificación de Kellgren y Lawrence (KL). Se verificó la significación estadística de la diferencia de los valores de quemerina sérica entre los dos grupos y se analizó la correlación entre las variables de índice de masa corporal (IMC) con severidad radiológica, número de regiones articulares y niveles de quemerina sérica.
ResultadosDurante el período de julio de 2015 a julio de 2016 fueron recolectadas muestras de suero y radiografías de las articulaciones comprometidas de 40 pacientes con OA primaria que cumplieron los criterios de inclusión, así como muestras de suero de 20 controles sanos. La concentración promedio de quemerina fue más alta en el grupo de pacientes con OA comparado con el con el grupo control, siendo de 373ng/ml y 175,55ng/ml respectivamente (p<2,2×10−16). No se encontraron asociaciones significativas entre los diferentes grados severidad de la enfermedad medida por escala radiológica KL como con el número de regiones articulares comprometidas y el IMC.
ConclusionesEn un grupo de pacientes con OA primaria de mano, rodilla o cadera, los valores de quemerina fueron superiores a los encontrados en los controles sanos, sin asociación significativa con la severidad de la enfermedad establecida radiológicamente por escala K/L, el número de regiones articulares comprometidas y el IMC.
Osteoarthritis (OA) is considered the most common degenerative joint pathology in the adult population, being an important cause of disability worldwide, and its prevalence is increasingly associated with different factors, including obesity. Obesity together with metabolic syndrome have been associated with a pro-inflammatory state due to the release of cytokines that induce changes in cartilage metabolism. Chemerin is an adipokine secreted mainly by adipocytes and its final action is to increase the production of IL-6, IL-8, IL-1b, TNF-α and metalloproteinases by macrophages, dendritic cells and chondrocytes, which are responsible for damage to the articular cartilage. This is one of the reasons that obesity and inflammation have been linked to OA. The main objective of this study is to determine whether the serum chemerin concentrations of a group of patients with primary OA are higher when compared with control individuals. A further purpose of the study is to determine the relationship between the presence of obesity/overweight with the severity of the disease measured by a radiological scale.
Patients and methodsAn analytical cross-sectional study was carried out where serum chemerin levels were quantified by enzyme-linked immunoadsorption assay (ELISA), in patients with primary OA of the hip, knee and hand with criteria from the American College Of Rheumatology (ACR) and controls. Radiological studies of patients and controls were analysed to determine the severity of joint involvement using the Kellgren and Lawrence (KL) classification system. The statistical significance of the difference in serum chemerin values between the two groups was verified and the correlation between the variables of body mass index (BMI) with radiological severity, number of joint regions and serum chemerin levels was analysed.
ResultsDuring the period from July 2015 to July 2016, serum samples and radiographs of compromised joints were collected from 40 patients with primary OA who met the inclusion criteria, as well as serum samples from 20 controls. The average concentration of chemerin was higher in the group of patients with OA compared to that of the control group, being 373 ng / ml and 175.55 ng / ml respectively (p<2.2×10−16). No significant associations were found between the different degrees of disease severity measured by the KL radiological scale, such as the number of involved joint regions and BMI.
ConclusionsIn a group of patients with primary OA of the hand, knee or hip, the values of chemerin were higher than those found in controls, without significant association with the severity of the disease established radiologically by K/L scale, the number of involved joint regions, and the BMI.
La osteoartritis (OA) es una enfermedad degenerativa articular multifactorial que se caracteriza por alteración del cartílago articular, cambios del hueso subcondral, formación de osteofitos e inflamación sinovial1. Es considerada la enfermedad articular más frecuente2 siendo una de las principales causas de discapacidad en los EE. UU., reportándose más de 22,7 millones de personas con limitación de actividad3. La prevalencia e incidencia estimadas varían según la definición de la OA, la articulación específica, así como la población de estudio4.
Un artículo reportado en Colombia evaluó 6.693 personas de 6 ciudades y estableció que la OA es la enfermedad reumática más prevalente (10,81%; IC 95%: 9,68-12,06%), datos cercanos a los encontrados a nivel mundial5. La OA se ha asociado a una disminución en la calidad de vida. En 2003 se estimó como la sexta causa de discapacidad a nivel mundial, y se prevé que corresponda a la cuarta causa para el 20206.
Se ha estimado que la prevalencia de la OA aumentará debido a varias factores concomitantes como son, el crecimiento poblacional y el envejecimiento por aumento de la esperanza de vida, aumento del sobrepeso y de la prevalencia de obesidad. Así mismo se ha considerado que la OA puede llevar a un aumento de la morbilidad cardiovascular favorecida por la disminución de la actividad física3. Dentro de los factores de riesgo asociados al desarrollo de la OA, la edad constituye el factor de riesgo más fuertemente asociado, debido a los cambios fisiológicos del cartílago que ocurren con el envejecimiento2, seguido de la obesidad y de la enfermedad metabólica, siendo considerado un trastorno inflamatorio y biomecánico7.
Sobre las adipocinas existe un creciente interés en investigación pues si bien la obesidad y el sobrepeso son factores de riesgo para el desarrollo de la OA atribuyéndose como componentes mecánicos, hay estudios que respaldan factores metabólicos que contribuyen al desarrollo de la enfermedad8. Se considera en la actualidad que el tejido adiposo es un órgano endocrino metabólicamente activo, que secreta citocinas proinflamatorias, y adipocinas que se han relacionado con la fisiopatogenia de la OA (leptina, resistina, adiponectina)8,9.
Recientemente se ha investigado una nueva adipocina llamada quemerina, secretada por adipocitos, células endoteliales, sinoviocitos y condrocitos que puede establecer una relación entre la obesidad, el IMC, la inflamación articular y la degradación del cartílago10, independiente del factor mecánico considerado causante del compromiso articular. La quemerina no solo ejerce función metabólica, si no que recientemente se le ha demostrado una potente actividad quimiotáctica a través del receptor 23 de quemerina (Chem23) con un aumento en la expresión de TNF, IL1-β, IL-6, MMP-1 y MMP-8 en condrocitos articulares humanos11. Los títulos altos de quemerina inducen MMP-2, MMP-3, MMP-13 e IL8, los cuales se han relacionado con degradación del cartílago articular12. Los estudios de niveles de quemerina en pacientes con OA han sido escasos con diversos resultados. Se ha encontrado niveles de quemerina aumentados en pacientes con OA de rodilla relacionados con los niveles de proteína C reactiva, IL-6 y TNF-α13,14 lo que sugiere la existencia de un componente inflamatorio. Valcamonica et al.13 reportan resultados contradictorios al demostrar que no encontró diferencias significativas de los niveles de quemerina sérica realizada en 11 pacientes con OA, 8 pacientes con artritis psoriásica y 18 pacientes con artritis reumatoidea. Estos resultados contrastan con los resultados de los estudios realizados por Ma et al.15 en donde los niveles de quemerina fueron más altos a nivel de líquido y membrana sinovial en pacientes con OA de rodilla en comparación con sujetos sanos. De igual forma Hung et al.12 reportan aumento de los niveles de quemerina en suero y líquido sinovial en pacientes con OA de rodilla.
Otros estudios han evaluado la relación existente entre los niveles de quemerina sérica con la severidad radiográfica de la OA. A este respecto Duan et al.14 reportan la asociación del aumento de los niveles de quemerina sérica con mayor compromiso radiológico y aumento del IMC en pacientes con compromiso de rodilla.
El objetivo principal de nuestro estudio consistió en determinar si las concentraciones de quemerina en suero de un grupo de pacientes con OA primaria de mano, rodilla y cadera son mayores al compararlos en individuos controles sanos, y adicionalmente determinar la relación existente entre la presencia de obesidad/sobrepeso con la severidad de la enfermedad medida por una escala radiológica.
Pacientes y métodosSe realizó un estudio de corte transversal, analítico en pacientes colombianos mayores de 18 años durante el período de julio del 2015 a julio del 2016. Se reclutaron 40 pacientes con diagnóstico de OA primaria de mano, rodilla y cadera según criterios del Colegio Americano de Reumatología (ACR)16,17, y 20 individuos sanos denominados controles. Se recolectaron muestras de suero y se realizaron radiografías de las articulaciones comprometidas, tanto a los enfermos como a los controles siguiendo protocolos idénticos. Los criterios de inclusión para los pacientes con OA incluyeron: 1) una puntuación ≥2 en escala radiológica de severidad de Kellgren y Lawrence (K/L)18.; 2) autorización de participación mediante firma del consentimiento informado. Para los controles sanos, estos fueron seleccionados de la consulta externa de otros servicios médicos, con los siguientes criterios de inclusión: a) individuos mayores de 18 años sin evidencia clínica de OA primaria o secundaria mediante cuestionario clínico y examen físico por reumatología y b) deseo de participar en el estudio previa autorización mediante firma del consentimiento informado. Los criterios de exclusión para los 2 grupos estudiados fueron: a) pacientes con OA secundaria (antecedente de cirugía, trauma o lesión del ligamento en articulación a evaluarse); b) pacientes con cuadro infeccioso activo; c) pacientes con diagnóstico de artritis reumatoide, lupus eritematoso sistémico, artritis reactiva, espondiloartropatías seronegativas, artropatía por depósito de cristales (urato mono sódico, hidroxiapatita, pirofosfato cálcico); d) clínica que sugiera cualquier otra condición inflamatoria crónica a criterio del médico tratante, y e) historia de uso de corticoides en los últimos 3 meses.
Las radiografías anteroposteriores de mano, rodilla y cadera se realizaron 6 meses previos a la toma la muestra de suero y fueron analizadas por 2 médicos entrenados de acuerdo con el sistema de clasificación de KL: grado 0, sin cambios radiológicos; grado 1, estrechamiento dudoso del espacio de las articulaciones y posibles formaciones osteofíticas; grado 2, osteofitos definidos y posible estrechamiento del espacio articular; grado 3, osteofitos múltiples moderados, estrechamiento definitivo del espacio articular, esclerosis y posible deformidad de los contornos óseos; grado 4, osteofitos grandes, marcado estrechamiento del espacio articular, esclerosis severa y deformidad definida de los contornos óseos. Se realizaron medidas de peso y talla en un instrumento calibrado para el cálculo del índice de masa corporal (IMC), según la fórmula de IMC=peso en kg/talla en cm2. Se consideró obesidad o sobrepeso todo IMC≥25. Este índice no se tuvo presente en la selección de los pacientes, para evitar sesgos de selección en el análisis final.
El tiempo de evolución de la enfermedad se definió teniendo en cuenta el momento en que el paciente fue consciente de tener síntomas como: rigidez, inflamación leve a severa de la articulación comprometida, dolor al movimiento articular, o utilización de ortesis para cadera, rodilla o mano mayor de 3 semanas en los últimos 6 meses previos al inicio del estudio.
Se obtuvo muestras de suero de los 40 pacientes con OA primaria y de los 20 controles sanos. Los niveles de quemerina se cuantificaron mediante ELISA de captura (ab155430 ABCAM Chemerin Human ELISA KIT) por duplicado, empleando un anticuerpo anti-humano biotinilado y un conjugado (HRP-Streptavidina). Los valores obtenidos fueron evaluados frente a una curva standard provista por el kit, utilizando quemerina humana recombinante. La lectura del ensayo se realizó a 450nm por espectrofotometría. La sensibilidad de la prueba es de 0,5ng/ml.
Para el análisis estadístico, se realizó un análisis descriptivo general de las variables demográficas para caracterizar los pacientes involucrados en el estudio. Se clasifican los pacientes utilizando diferentes criterios como edad, género, índice de masa corporal, articulación (es) afectadas y niveles de K/L. Se exploran las diferencias en los niveles medios de quemerina entre grupos de pacientes con OA y se comparan los niveles de quemerina entre pacientes con OA e individuos control. Se utiliza pulimiento de medianas (Hoaglin et al. 1983) para el análisis a dos vías entre los diferentes grados K/L (grado 0, grado 1, grado 2, grado 3 y grado 4). Se aplicaron pruebas de diferencia medias de la t de Student con la modificación de Welch para los grados de libertad y se determinó a través de la estimación de los intervalos de confianza el nivel medio de quemerina de cada grupo. La inferencia es llevada a cabo a un nivel del 95% de confianza. Se empleó el software R 2017 (The R Project for Statistical Computing).
El protocolo del estudio fue aprobado comité de ética de la Universidad Nacional de Colombia y de los comités hospitalarios donde se reclutaron pacientes. Todos los participantes proporcionaron su consentimiento informado por escrito. El estudio cumple con los requisitos para la investigación en humanos según la resolución 8430 de 1993 del Ministerio de Salud de la Republica de Colombia y que son acordes a las normas y estándares éticos en investigación en humanos de la Declaración de Helsinki de 1964.
ResultadosDurante el período de julio de 2015 a julio de 2016 se obtuvo muestras de suero y radiografías de 40 pacientes con OA y de 20 controles sanos. En relación a las características demográficas de los grupos, se encontró un predomino del género femenino (92%) grupo OA vs. (55%) control. La edad promedio fue de 64,8 y 65,7 para los pacientes y controles, respectivamente y el IMC fue mayor (26,59) en el grupo de pacientes con OA comparado con el grupo control. El tiempo en promedio de duración de la enfermedad para los pacientes con OA fue de 6,9 años (tabla 1).
Características de los pacientes con OA y del grupo control
| Pacientes con OA (n=40) | Grupo control (n=20) | |
|---|---|---|
| Edad en años; media | 64,8 | 65,7 |
| Tiempo evolución en años; media | 6,9 | — |
| IMC; media | 26,59 | 25 |
| Sexo femenino; % | 92% (37) | 55% (10) |
| Razón de probabilidad; géneros | 11,68344; p=0,0001653 | |
| IC 95%: 2,428822;78,705047 |
IMC: índice de masa corporal; OA: osteoartritis.
Descripción de los pacientes y controles: valores promedio de edad, tiempo de evolución e IMC. Se observa predominio del sexo femenino en ambos grupos. Se usa la prueba de la t de Student para diferencia de medias y la aproximación de Welch para el cálculo de los grados de libertad.
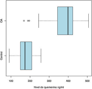
Los valores de quemerina fueron más altos en el grupo de pacientes con OA (373,525ng/ml) comparado con el grupo control (175,55ng/ml), encontrándose una p<2,2×10−16 (tabla 2, fig. 1). En tanto, no se evidenciaron asociaciones significativas en relación al IMC o la edad al comparar los 2 grupos (tabla 2).
Comparación de niveles de quemerina, edad e IMC entre controles y pacientes con OA
| Control | OA | t | Valor de p | IC 95% (control OA) | |
|---|---|---|---|---|---|
| Quemerina; ng/ml | 175,55 | 373,525 | −11,586 | 2,2x10−16 | (−232,213;−163,737) |
| Edad | 66,05 | 64,375 | 0,666 | 0,509 | (−3,378;6,728) |
| IMC | 25,23 | 26,509 | −1,768 | 0,083 | (−2,729;0,171) |
IMC: índice de masa corporal; OA: osteoartritis; t: t de Student.
No se observan diferencias estadísticas al comparar los niveles promedio de quemerina respecto al IMC o la edad. Nótese diferencias significativas entre los niveles de quemerina de los pacientes con OA comparado con el grupo control (2,2x10-16). Se usa la prueba de la t de Student para diferencia de medias y la aproximación de Welch para el cálculo de los grados de libertad.
Niveles de quemerina en pacientes con OA y controles. A un nivel de significación del 95% (163,737 y 232,213), la diferencia entre los niveles promedio de quemerina de pacientes con OA y el grupo control, resulta estadísticamente significativa (p<2,2x10−16). Se usa la prueba de la t de Student para diferencia de medias y la aproximación de Welch para el cálculo de los grados de libertad.
En cuanto a las características clínicas en el conjunto de pacientes con OA primaria, el 65% presentan compromiso de una región articular, de los cuales el compromiso de mano estuvo presente en el 47,5%, en rodilla el 7,5% y el 10% en cadera. El 35% de los pacientes restantes presentaron más de una articulación diferente comprometida simultáneamente al momento del estudio, donde el 25% tenían 2 regiones articulares comprometidas y el 10% cursaron con tres regiones articulares comprometidas. En la tabla 3 se observa el porcentaje de los niveles de quemerina en los pacientes con OA en cada grupo y las diferentes combinaciones del compromiso articular, desde una a tres articulaciones comprometidas. Se observó que entre los grupos estudiados el mayor porcentaje de niveles de quemerina encontrados se presentó en los pacientes con OA de cadera (IC 95%: 189,8819 y 278,3286).
Características clínicas de los pacientes con OA. Regiones articulares comprometidas y niveles de quemerina comparados con el grupo control sano
| Osteoartritis | OA | t | Valor de p | IC 95% (control OA) | N.° | Porcentaje |
|---|---|---|---|---|---|---|
| Solo una articulación afectada | 364,8621 | −8,9812 | 1,383x10−11 | (−230,1237;−145,8110) | 26 | 65 |
| Solo 2 articulaciones afectadas | 409,5000 | −14,3940 | 1,523x10−13 | (−265,9012;−199,3093) | 10 | 25 |
| Las 3 articulaciones afectadas | 400,0000 | −13,0210 | 2,532x10−7 | (−261,6219;−184,5887) | 4 | 10 |
| Solo rodilla | 348,0000 | −5,4889 | 0,0155 | (−276,72289;−65,48764) | 3 | 7,5 |
| Solo mano | 345,1579 | −6,2559 | 1,276x10−6 | (−223,5499;−112,9764) | 19 | 47,5 |
| Solo cadera | 411,0000 | −12,3740 | 3,196x10−6 | (−278,3286;−189,8819) | 4 | 10 |
| Solo rodilla y mano | 407,7500 | −16,4340 | 5,177x10−12 | (−260,4479;−201,2626) | 4 | 10 |
| Solo rodilla y cadera | 402,3333 | −12,7720 | 1,434x10−5 | (−268,6475;−182,2297) | 3 | 7,5 |
| Solo cadera y mano | 419,0000 | −6,0032 | 0,01727 | (−391,41361;−92,79691) | 3 | 7,5 |
IC 95%: intervalo de confianza del 95%; OA: osteoartritis; t: t de Student.
Obsérvese el porcentaje de los pacientes con compromiso de una o más articulaciones. A un nivel de confianza del 95%, en todos los casos resultan significativamente más altos los niveles de quemerina de los pacientes comparados con los controles. Sin embargo, de los que tienen solo una articulación afectada los niveles más altos se encuentran en los que tienen compromiso en cadera (IC 95%: 189,8819 y 278,3286). Los niveles de quemerina para el grupo control, corresponden a 175,55ng/ml.
Finalmente, al evaluar los niveles de quemerina con el grado de compromiso radiológico por el método de K/L en cada uno de los grupos de pacientes con OA, se encontró por análisis de varianza, una relación significativa (p<0,00172) en pacientes con compromiso de mano asociado con un mayor grado radiológico (K/L4>K/L3). Sin embargo, no se encontraron asociaciones significativas con el resto de articulaciones comprometidas y el grado de severidad radiológica con cada grupo de pacientes.
DiscusiónLa OA ha sido considerada durante mucho tiempo una enfermedad degenerativa del cartílago articular. En las últimas décadas este paradigma ha cambiado considerándosele como una enfermedad inflamatoria que compromete la totalidad del aparato articular y que termina con el daño progresivo del cartílago hialino, hueso subcondral, formación de osteofitos, y limitación de la función articular acompañada discapacidad física severa.
Es además, la enfermedad articular presente con más frecuencia en la población adulta mundial y la causa de mayor discapacidad en todo el mundo. En Colombia no tenemos datos de la prevalencia, la frecuencia de sus fenotipos clínicos y la discapacidad física que genera, como tampoco el impacto económico al sistema de salud.
Nuestros resultados muestran que la OA fue más frecuente en el sexo femenino (92,5%) con una edad promedio de 64,88 (32-79) años, y una evolución promedio de la enfermedad de 6,9 años. Sabemos que esta depende de variables específicas para cada población en estudio tales como su aumento con la edad, factores genéticos, factores socio culturales y ocupacionales que influyen directamente en la pronta aparición o retardo de los síntomas. Nuestros resultados se encuentran dentro de las características generales reportadas para la enfermedad en la literatura.
Nos llamó la atención que, en los pacientes de nuestro estudio, el compromiso de la mano (con participación de algunas de sus articulaciones IPP, IPD y CMC) estuvo presente en el 47,5%, cadera en el 10% y rodilla en el 7,5% de los pacientes (tabla 3). Estos datos de presentación clínica de la OA son importantes puesto que en Colombia y Latinoamérica no contamos con estudios que brinden esta información. La mayoría de estudios establecen la OA de rodilla como la forma más frecuente de presentación clínica6. También nuestros resultados contrastan con el estudio de Hunter et al.19 en el cual evidenció que el compromiso de las manos estuvo presente en el 6% de adultos alrededor de los 30 años y el 13% en mayores de 60 años. Nosotros no encontramos el compromiso de manos en adultos jóvenes quizás porque en la inclusión de nuestros pacientes no hubo sesgo de selección en este sentido. Otros estudios de OA en poblaciones étnicas similares a la nuestra como en población mexicana, informan que la prevalencia de OA primaria es del 10,5% (IC 95%: −10,1 a 10,9) siendo más frecuente en el sexo femenino (11,7%) y en varones (8,7%). El compromiso de mano fue también relevante en el 43,3%, en rodilla el 23,9%, y en cadera el 10,9%, respectivamente20. Recientemente la quemerina21 ha sido identificada como una nueva adipocina que regula el desarrollo y funcionamiento del adipocito y de igual forma el metabolismo glucosídico en el hígado y en el músculo esquelético. Varias investigaciones han relacionado niveles altos de quemerina en sangre con obesidad y con algunos aspectos del síndrome metabólico. De esta forma se ha investigado cómo esta citosina secretada por adipocitos, células endoteliales, sinoviocitos y condrocitos puede establecer una relación entre la obesidad, IMC, inflamación articular y la degradación del cartílago10 independiente del factor mecánico considerado causante del compromiso articular. Los estudios clínicos que relacionan niveles de quimerina con OA han sido escasos y existe bastante heterogeneidad en sus resultados. Se han encontrado niveles de quemerina aumentados en aquellos pacientes con OA de rodilla relacionados con los niveles de proteína C reactiva, IL-6 y TNF-α13,14 lo que sugiere una relación con el componente inflamatorio en la OA. No obstante, algunos otros estudios clínicos en este sentido, han mostrado heterogeneidad en los resultados12–15. Huang et al.12 encontraron asociación significativa en los pacientes con OA de rodilla y niveles de quemerina en suero y en liquido sinovial relacionado con mayor grado de severidad articular de la enfermedad. Igualmente Ma et al.15 encontraron aumento de la quemerina sérica en pacientes con OA de rodilla en líquido y membrana sinovial comparados con sujetos sanos, estableciendo la posible relación de esta citocina en la patogénesis de la OA. Estos estudios contrastan con el trabajo realizado por Valcamonica et al.13 en donde comparan niveles de quemerina sérica sin encontrar asociaciones significativas en un total de 37 pacientes, de los cuales 18 cursaban con artritis reumatoidea, 8 con artritis psoriásica y 11 con OA. Otros estudios como el de Bozaoglu et al.22, relacionan los niveles de quemerina en suero con componentes del síndrome metabólico como la trigliceridemia, la presión arterial, la resistencia a la insulina y la grasa corporal. Incluso establecen una concentración de quemerina plasmática de 240ng/ml como punto de corte para establecer la asociación con el síndrome metabólico con una sensibilidad del 75% y una especificidad del 67%. Este resultado es valioso en el sentido de que no hay informes de punto de corte de niveles plasmáticos de quemerina relacionados con patología articular. Nosotros encontramos niveles de 373,525ng/ml como valor promedio en los pacientes con OA, con una asociación significativa (p<2,2×10−16) comparada con los controles sanos donde el valor promedio fue de 175,55ng/ml (tabla 2 y fig. 1). Nuestro propósito en este estudio fue también conocer la relación de los pacientes con OA, obesidad y niveles de quemerina sérica. La mayoría de nuestros pacientes comparados con los controles, se encontraron en rango de sobre peso con niveles promedio de IMC (26,509) y (25,23), respectivamente. No encontramos pacientes en el rango de obesidad. Estos datos están de acuerdo con los informes de estudios previos considerados anteriormente donde nos permite pensar que estos niveles altos de quemerina pueden estar participando en la etiopatogenia de la OA, y que, a pesar de su secreción por parte del tejido adiposo, ésta se encuentra elevada en la OA aún si no existe obesidad, por las características de la población estudiada. Por esta razón, es muy probable que no se haya encontrado asociación significativa entre los rangos de niveles de quemerina y obesidad como se observa en la tabla 1. Dentro de los objetivos que también quisimos valorar en este estudio, fueron la relación existente entre los niveles de quemerina sérica, IMC y la severidad radiológica con los diferentes fenotipos clínicos encontrados en nuestros pacientes. La información encontrada en los diferentes estudios en este aspecto también es contradictoria13,14. Nosotros no encontramos correlación entre los niveles de quemerina con el número de regiones articulares comprometidas y la severidad de la enfermedad medida por la escala radiológica de K/L, como tampoco su relación con IMC a diferencia de los datos reportados por Duan et al.14 que encuentran una asociación significativa entre estas variables específicamente en OA de rodilla. No obstante y en concordancia con lo anterior, es importante mencionar que pudimos observar una mayor secreción de quemerina en pacientes con OA de mano clasificados como KL/4 comparado con KL/3 con una asociación estadísticamente significativa (p<0,00172).
La mayoría de los estudios previos han evaluado los valores de quemerina solo en relación a OA de rodilla con el aumento del IMC12,14 sin embargo en nuestro estudio se incluyeron pacientes con OA con compromiso en mano, cadera y rodilla, permitiéndonos de esta forma evitar el factor biomecánico asociado a obesidad lo cual podría causar confusión al evaluar los niveles de quemerina. Queremos resaltar con este trabajo que es el primer estudio en población de pacientes colombianos y latinoamericanos que incluyen pacientes que padecen OA primaria, y que evalúa de forma transversal los niveles séricos de quemerina sérica y su posible asociación con la enfermedad con algunas asociaciones clínicas como IMC y severidad de la enfermedad medida por una escala radiológica. De igual forma, nos llama la atención como a otros investigadores que la OA no es únicamente debida a factores mecánicos, sino que factores metabólicos estarían involucrados en la patogénesis de la enfermedad como ha sido suficiente demostrado en OA de articulaciones de rodilla, cadera y manos. Somos conscientes en reconocer las limitaciones de este estudio el cual incluyen el bajo número de pacientes, situación que puede influir en la detección de algunas otras variables epidemiológicas con diferencias significativas entre pacientes y controles. Al tratarse de un estudio de diseño con corte trasversal, solo se pueden establecer asociaciones, más no una relación de causalidad. Lo que sí nos permite a grandes rasgos, es observar el comportamiento de la OA en nuestro medio con otras cohortes de pacientes en otras latitudes.
El hallazgo más importante de nuestra investigación fue encontrar. que los niveles de quemerina sérica fueron un poco más del doble en los pacientes con OA (373,525ng/ml) respecto a los controles sanos con una asociación significativa de (p<2,2×10−16) (tabla 2 y fig. 1), pero sin una asociación significativa con los fenotipos clínicos lo cual se atribuye al tamaño de la muestra incluida en el estudio. De acuerdo con nuestros hallazgos, nos permitirán en prospectiva la realización de futuros estudios con un mayor y más variado número de pacientes contemplando variables clínicas adicionales, relacionadas con síndrome metabólico y otros aspectos clínicos relacionados con la fisiopatología de la enfermedad, incluyendo el compromiso de varias regiones articulares.
ConclusionesPodemos concluir este trabajo, que en un grupo de pacientes colombianos con OA primaria que presentan compromiso de cadera, rodilla y mano los valores de quemerina son superiores a los controles sanos sin que exista una asociación significativa con los grados de severidad de la enfermedad establecida por la escala radiológica K/L, IMC, el número de regiones articulares comprometidas y el fenotipo clínico.
FinanciaciónEntidades financiadoras: Universidad Nacional de Colombia. Código Hermes: 28088. Asociación colombiana de Reumatología. Acta 9 de premiación. Mejor trabajo de Investigación 2016.
Conflicto de interesesLos autores declaran no tener ningún conflicto de intereses.
Hospital Simón Bolívar y la Clínica Fray Bartolomé de las Casas por permitir la realización de la investigación. A la Asociación Colombiana de Reumatología por la financiación del proyecto.







